生育津贴直接发放至个人,这些地方已实现→

发表时间:2025-12-01 18:42来源:央视新闻微信公众号

国家医保局消息,目前,全国有20个省份(含新疆生产建设兵团)全面实现生育津贴直接发放至个人,即河北、山西、内蒙古、吉林、黑龙江、上海、浙江、福建、山东、河南、湖北、海南、重庆、四川、云南、西藏、甘肃、青海、宁夏、新疆生产建设兵团,实现生育津贴直接发放至个人的统筹区占比将近八成。

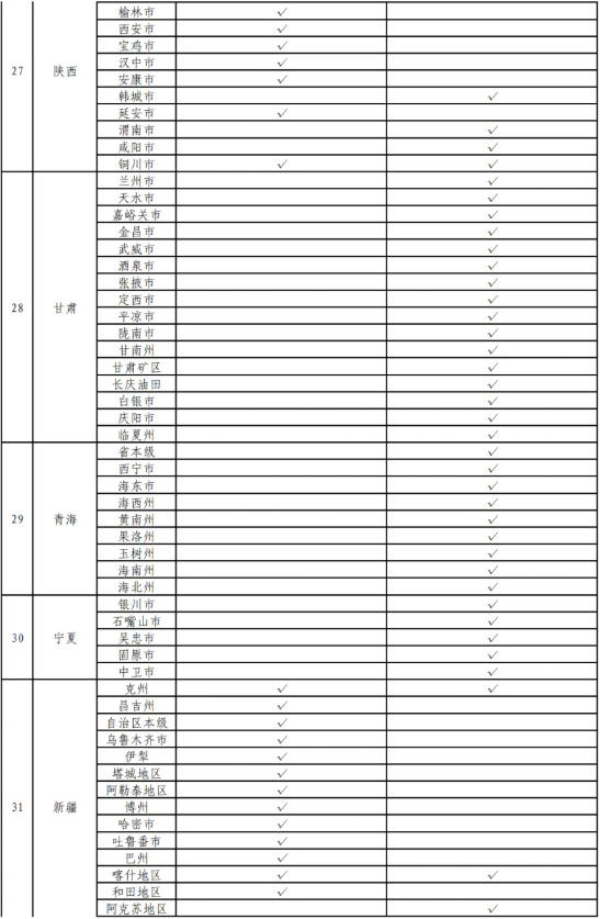
各统筹区生育津贴发放具体情况详见下表。

生育津贴1.png

生育津贴2.png

生育津贴3.png

生育津贴4.png

生育津贴5.png

生育津贴6.png

生育津贴7.png

生育津贴8.png